
Templates of the CONSORT flow diagram are available in PDF and in MS Word.

A flow chart is provided describing the progress of patients through the

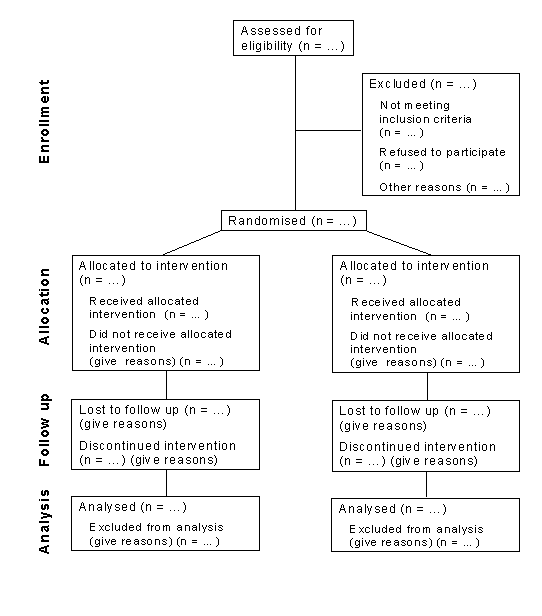
CJNS - Consort Flow Diagram

In addition, include a flow diagram illustrating the progress of patients
CONSORT flow diagram

CONsolidated Standards of Reporting of Trials (CONSORT) flow diagram.

CONSORT flow diagram

Figure 2 CONSORT flow diagram

CONSORT flow diagram

Consort flow diagram
CONSORT flow diagram

A CONSORT Flow Chart Showing the Flow of Patients Through the Trial.

Figure 1: Consort flow chart and investigation design.
00713-X/assets/gr1/gr1_584x451.jpg)
1 CONSORT flow diagram for patients who were brought into the trial.

CONSORT flow diagram showing the progress of patients throughout the

controlled trials (RCTs) should include the CONSORT flow diagram showing

Flow chart of the trial based on CONSORT trial guidelines 12:

Editable flow chart template available for download at the CONSORT website

Interlux Color Charts - A CONSORT flow chart showing the flow of patients La

Consort flow diagram